Search results

Search This Blog

Theory - 57 :- Flip Flops

 

Basics of Flip Flop


A circuit that has two stable states is treated as a flip flop. These stable states are used to store binary data that can be changed by applying varying inputs. The flip flops are the fundamental building blocks of the digital system. Flip flops and latches are examples of data storage elements. In the sequential logical circuit, the flip flop is the basic storage element. The latches and flip flops are the basic storage elements but different in working. There are the following types of flip flops:


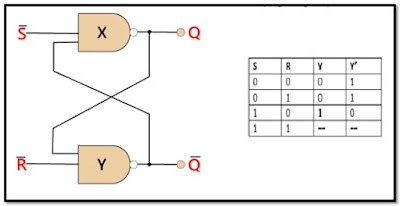
SR Flip Flop


The S-R flip flop is the most common flip flop used in the digital system. In SR flip flop, when the set input "S" is true, the output Y will be high, and Y' will be low. It is required that the wiring of the circuit is maintained when the outputs are established. We maintain the wiring until set or reset input goes high, or power is shutdown.


SR Flip Flop Circuit                                  Truth Table












The S-R flip flop is the simplest and easiest circuit to understand.


J-K Flip-flop


The JK flip flop is used to remove the drawback of the S-R flip flop, i.e., undefined states. The JK flip flop is formed by doing modification in the SR flip flop. The S-R flip flop is improved in order to construct the J-K flip flop. When S and R input is set to true, the SR flip flop gives an inaccurate result. But in the case of JK flip flop, it gives the correct output.



 J-K Flip-flop                                     Truth Table










In J-K flip flop, if both of its inputs are different, the value of J at the next clock edge is taken by the output Y. If both of its input is low, then no change occurs, and if high at the clock edge, then from one state to the other, the output will be toggled. The JK Flip Flop is a Set or Reset Flip flop in the digital system.

D flip flop

D flip flop is a widely used flip flop in digital systems. The D flip flop is mostly used in shift-registers, counters, and input synchronization.


    D flip flop Circuit                                  Truth Table










T flip flop


Just like JK flip-flop, T flip flop is used. Unlike JK flip flop, in T flip flop, there is only single input with the clock input. The T flip flop is constructed by connecting both of the inputs of JK flip flop together as a single input.


 T Flip Flop Circuit                                  Truth Table










The T flip flop is also known as Toggle flip-flop. These T flip-flops are able to find the complement of its state.

Post a Comment

If you have any doubts, please let me know

Previous Post Next Post